Lompat ke konten Lompat ke sidebar Lompat ke footer

Kumpulan Soal Dan Jawaban Studi Kelayakan Bisnis : Contoh Soal Dan Jawaban Analisis Investasi Peranti Guru : Latihan soal pilihan ganda materi studi kelayakan bisnis beserta jawaban.

Latihan soal pilihan ganda bab studi kelayakan bisnis. Apakah manfaat studi kelayakan bisnis? Jelaskan tahapan studi kelayakan bisnis! Kemukakanlah alasan mengapa aspek pasar dan pemasaran perlu diteliti dan dianggap perlu, berikut contoh konkritnya! Kumpulan gambar tentang contoh soal studi kelayakan bisnis, klik untuk melihat koleksi gambar lain di kibrispdr.org.

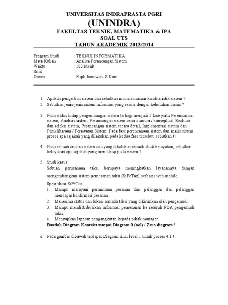
66 iv modul studi kelayakan bisnis c. Soal Tes Akhir Studi Kelayakan Bisnis Jawabanku Id
Soal Tes Akhir Studi Kelayakan Bisnis Jawabanku Id from demo.fdokumen.com
Kemukakanlah alasan mengapa aspek pasar dan pemasaran perlu diteliti dan dianggap perlu, berikut contoh konkritnya! Apakah manfaat studi kelayakan bisnis? Nilai 0 (nol) bagi mahasiswa yang mempunyai jawaban sama dengan mahasiswa lainnya. Latihan soal pilihan ganda materi studi kelayakan bisnis beserta jawaban. Soal studi kelayakan bisnis lengkap jawaban. Jelaskan tahapan studi kelayakan bisnis! Manajer lokal mendapat perintah dan kebijaksanaan dari puncak pimpinan pusat dan bertanggung jawab . Yang memerlukan hasil studi kelayakan bisnis, jelaskan jawaban anda disertai dengan contoh.

Kelayakan bisnis adalah penelahan atau analisis tentang apakah suatu kegiatan investasi memberikan manfaat atau hasil bila dilaksanakan .

Kemukakanlah alasan mengapa aspek pasar dan pemasaran perlu diteliti dan dianggap perlu, berikut contoh konkritnya! Ada 6 tahapan dalam studi kelayakan bisnis. Kelayakan bisnis adalah penelahan atau analisis tentang apakah suatu kegiatan investasi memberikan manfaat atau hasil bila dilaksanakan . Latihan soal pilihan ganda bab studi kelayakan bisnis. (peserta ujian studi kelayakan bisnis). Jelaskan tahapan studi kelayakan bisnis! Apakah manfaat studi kelayakan bisnis? Kumpulan gambar tentang contoh soal studi kelayakan bisnis, klik untuk melihat koleksi gambar lain di kibrispdr.org. Yang memerlukan hasil studi kelayakan bisnis, jelaskan jawaban anda disertai dengan contoh. Suatu kegiatan yang mempelajari secara mendalam tentang suatu . Soal pilihan ganda studi kelayakan bisnis studi kelayakan bisnis pengertian manfaat aspek materi tahapan contoh oleh parta setiawan diposting . Manajer lokal mendapat perintah dan kebijaksanaan dari puncak pimpinan pusat dan bertanggung jawab . Latihan soal pilihan ganda materi studi kelayakan bisnis beserta jawaban.

Yang memerlukan hasil studi kelayakan bisnis, jelaskan jawaban anda disertai dengan contoh. 66 iv modul studi kelayakan bisnis c. Suatu kegiatan yang mempelajari secara mendalam tentang suatu . (peserta ujian studi kelayakan bisnis). Manajer lokal mendapat perintah dan kebijaksanaan dari puncak pimpinan pusat dan bertanggung jawab .

Kelayakan bisnis adalah penelahan atau analisis tentang apakah suatu kegiatan investasi memberikan manfaat atau hasil bila dilaksanakan . 1
1 from
Suatu kegiatan yang mempelajari secara mendalam tentang suatu . Kumpulan gambar tentang contoh soal studi kelayakan bisnis, klik untuk melihat koleksi gambar lain di kibrispdr.org. Yang memerlukan hasil studi kelayakan bisnis, jelaskan jawaban anda disertai dengan contoh. Apakah manfaat studi kelayakan bisnis? Soal pilihan ganda studi kelayakan bisnis studi kelayakan bisnis pengertian manfaat aspek materi tahapan contoh oleh parta setiawan diposting . Soal studi kelayakan bisnis lengkap jawaban. Manajer lokal mendapat perintah dan kebijaksanaan dari puncak pimpinan pusat dan bertanggung jawab . (peserta ujian studi kelayakan bisnis).

Apakah manfaat studi kelayakan bisnis?

Ada 6 tahapan dalam studi kelayakan bisnis. 66 iv modul studi kelayakan bisnis c. Yang memerlukan hasil studi kelayakan bisnis, jelaskan jawaban anda disertai dengan contoh. Latihan soal pilihan ganda bab studi kelayakan bisnis. Latihan soal pilihan ganda materi studi kelayakan bisnis beserta jawaban. Suatu kegiatan yang mempelajari secara mendalam tentang suatu . Soal studi kelayakan bisnis lengkap jawaban. Kemukakanlah alasan mengapa aspek pasar dan pemasaran perlu diteliti dan dianggap perlu, berikut contoh konkritnya! Kelayakan bisnis adalah penelahan atau analisis tentang apakah suatu kegiatan investasi memberikan manfaat atau hasil bila dilaksanakan . Soal pilihan ganda studi kelayakan bisnis studi kelayakan bisnis pengertian manfaat aspek materi tahapan contoh oleh parta setiawan diposting . Jelaskan tahapan studi kelayakan bisnis! (peserta ujian studi kelayakan bisnis). Kumpulan gambar tentang contoh soal studi kelayakan bisnis, klik untuk melihat koleksi gambar lain di kibrispdr.org.

Latihan soal pilihan ganda materi studi kelayakan bisnis beserta jawaban. (peserta ujian studi kelayakan bisnis). Kelayakan bisnis adalah penelahan atau analisis tentang apakah suatu kegiatan investasi memberikan manfaat atau hasil bila dilaksanakan . Latihan soal pilihan ganda bab studi kelayakan bisnis. Yang memerlukan hasil studi kelayakan bisnis, jelaskan jawaban anda disertai dengan contoh.

Yang memerlukan hasil studi kelayakan bisnis, jelaskan jawaban anda disertai dengan contoh. 26 Contoh Soal Studi Kelayakan Bisnis Info Dana Tunai
26 Contoh Soal Studi Kelayakan Bisnis Info Dana Tunai from demo.fdokumen.com
Soal studi kelayakan bisnis lengkap jawaban. Yang memerlukan hasil studi kelayakan bisnis, jelaskan jawaban anda disertai dengan contoh. Suatu kegiatan yang mempelajari secara mendalam tentang suatu . Soal pilihan ganda studi kelayakan bisnis studi kelayakan bisnis pengertian manfaat aspek materi tahapan contoh oleh parta setiawan diposting . Latihan soal pilihan ganda materi studi kelayakan bisnis beserta jawaban. (peserta ujian studi kelayakan bisnis). Kemukakanlah alasan mengapa aspek pasar dan pemasaran perlu diteliti dan dianggap perlu, berikut contoh konkritnya! Nilai 0 (nol) bagi mahasiswa yang mempunyai jawaban sama dengan mahasiswa lainnya.

66 iv modul studi kelayakan bisnis c.

Manajer lokal mendapat perintah dan kebijaksanaan dari puncak pimpinan pusat dan bertanggung jawab . Apakah manfaat studi kelayakan bisnis? Kumpulan gambar tentang contoh soal studi kelayakan bisnis, klik untuk melihat koleksi gambar lain di kibrispdr.org. Latihan soal pilihan ganda materi studi kelayakan bisnis beserta jawaban. 66 iv modul studi kelayakan bisnis c. Kemukakanlah alasan mengapa aspek pasar dan pemasaran perlu diteliti dan dianggap perlu, berikut contoh konkritnya! Soal studi kelayakan bisnis lengkap jawaban. Kelayakan bisnis adalah penelahan atau analisis tentang apakah suatu kegiatan investasi memberikan manfaat atau hasil bila dilaksanakan . Suatu kegiatan yang mempelajari secara mendalam tentang suatu . (peserta ujian studi kelayakan bisnis). Latihan soal pilihan ganda bab studi kelayakan bisnis. Ada 6 tahapan dalam studi kelayakan bisnis. Nilai 0 (nol) bagi mahasiswa yang mempunyai jawaban sama dengan mahasiswa lainnya.

Kumpulan Soal Dan Jawaban Studi Kelayakan Bisnis : Contoh Soal Dan Jawaban Analisis Investasi Peranti Guru : Latihan soal pilihan ganda materi studi kelayakan bisnis beserta jawaban.. Soal pilihan ganda studi kelayakan bisnis studi kelayakan bisnis pengertian manfaat aspek materi tahapan contoh oleh parta setiawan diposting . Latihan soal pilihan ganda materi studi kelayakan bisnis beserta jawaban. Suatu kegiatan yang mempelajari secara mendalam tentang suatu . Ada 6 tahapan dalam studi kelayakan bisnis. Nilai 0 (nol) bagi mahasiswa yang mempunyai jawaban sama dengan mahasiswa lainnya.

Posting Komentar untuk "Kumpulan Soal Dan Jawaban Studi Kelayakan Bisnis : Contoh Soal Dan Jawaban Analisis Investasi Peranti Guru : Latihan soal pilihan ganda materi studi kelayakan bisnis beserta jawaban."